生物学行业动态Industry dynamic
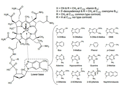
以维生素B12为代表的钴胺素家族(Corrinoid)是自然界中产生的最复杂的一类非聚合生物大分子。作为很多功能蛋白所必需的辅酶因子,钴胺素对维持细胞的基础生理生化代谢活动(例如脱氧核糖核酸合成、甲硫氨酸合成)至关重要。钴胺素家族的化合物分子复杂,然而结构域相对保守,维生素B12以及其它的钴胺素类似物在结构上的差异取决于其低位配合物(Lower base)的结构。已知的天然钴胺素类似物有多达16种不同的低位配合物结构,然而,对钴胺素类似物的结构上的多样性与其在生物学功能上的相关性关注甚少。
近年来,中国科学院沈阳应用生态研究所研究员严俊对还原性脱氯细菌(脱氯菌)的研究发现,不同的钴胺素类似物严重影响了脱氯菌的生长和代谢活性,为钴胺素的结构与其功能上的相关性提供了证据,并提出了钴胺素的生物学功能上的差异取决于其低位配位物的结构这一新观点。基于该理论,严俊与美国田纳西大学、美国橡树岭国家实验室教授Frank Lffler,加拿大多伦多大学教授Elizabeth Edwards研究团队,开展了钴胺素在脱氯菌细胞中的合成途径、结构以及生物学功能的研究。
此项国际合作研究通过对脱氯菌Desulfitobacterium的研究,结合质谱、15N同位素标记和核磁分析手段,发现一种全新的钴胺素类似物,无取代嘌呤钴胺素,首次报道无取代嘌呤(unsubstituted purine)这种罕见的生物分子可作为天然钴胺素的低位配位物来支持脱氯菌Desulfitobacterium的生长及其脱氯活性。该项研究开创性的应用非变性蓝胶电泳技术和蛋白质组学分析从具有催化活性的四氯乙烯脱氯酶中分离出无取代嘌呤钴胺素,从而完整证明了无取代嘌呤钴胺素其主要功能是作为四氯乙烯脱氯酶的辅酶因子来催化还原性脱氯反应。
这一研究成果填补了国际上钴胺素生物合成领域的空白,赋予了无取代嘌呤新的生物学功能。钴胺素低位配合物的多样性,及其对于脱氯菌生长和活性的调控机制,可为厌氧环境中(例如地下水环境)的有机氯污染物的原位生物修复方案提供新策略。相关研究结果以Purinyl-cobamide is a native prosthetic groupof reductive dehalogenases为题,在线发表在Nature Chemical Biology上。
(本文转载生物谷)

上海展辉生物技术有限公司
地址:上海市浦东新区东方路
联系电话:400-689-6719
联系邮箱:3369352092@qq.com
联系我们:
4006896719

扫一扫
关注东洪博元更多动态